Contoh Surat Pernyataan Kesanggupan Pemberian Nafkah : Contoh Surat Pernyataan Kesanggupan Menaati Peraturan / Surat pernyataan kesanggupan dari calon suami/istri untuk melaksanakan.

Perkawinan sebagaimana dimaksud pada ayat (2). Memiliki istri lebih dari satu dalam kurun waktu bersamaan atau lebih umum disebut poligami dituntun kesanggupan pemenuhan nafkah lahir batin serta keadilan . Pemberian nafkah pasca perceraian adalah kewajiban yang harus dipenuhi. Silahkan kunjungi postingan contoh surat pernyataan suami menanggung beban biaya hidup anak karena cerai dengan istri untuk membaca artikel selengkapnya. (2) pemberian nafkah kepada mantan istri yang dicerai.

Pemberian nafkah pasca perceraian adalah kewajiban yang harus dipenuhi. Form mkt20a (surat pernyataan pengakuan hutang)
Form mkt20a (surat pernyataan pengakuan hutang) from image.slidesharecdn.com
Dalam hal di wilayah polda terdapat laboratorium forensik cabang, pemberian. Pengucapan ikrar talak di hadapan sidang pengadilan agama setelah diizinkan oleh pengadilan tersebut merupakan hak bagi pemohon (seorang suami . Dalam setiap perkara permohonan cerai, suami disyaratkan secara mutlak. Perinta, adanya hadis yang membolehkan suami poligami, adanya contoh dari rasulullah. Mengajukan surat pemberitahuan adanya gugatan perceraian dari. Nafkah mut'ah merupakan pemberian dari suami kepada istri setelah. Surat pernyataan kesanggupan dari calon suami/istri untuk melaksanakan. Silahkan kunjungi postingan contoh surat pernyataan suami menanggung beban biaya hidup anak karena cerai dengan istri untuk membaca artikel selengkapnya.

(3) ketentuan mengenai format surat permohonan izin.

Surat pernyataan kesanggupan dari calon suami/istri untuk melaksanakan. Memiliki istri lebih dari satu dalam kurun waktu bersamaan atau lebih umum disebut poligami dituntun kesanggupan pemenuhan nafkah lahir batin serta keadilan . Perkawinan sebagaimana dimaksud pada ayat (2). Diatur dalam kompilasi hukuk islam bahwa pemberian nafkah iddah. Mengajukan surat pemberitahuan adanya gugatan perceraian dari. Nafkah mut'ah merupakan pemberian dari suami kepada istri setelah. Tanjung karang tahun 2017 tentang pemberian nafkah „iddah dan. (3) ketentuan mengenai format surat permohonan izin. Silahkan kunjungi postingan contoh surat pernyataan suami menanggung beban biaya hidup anak karena cerai dengan istri untuk membaca artikel selengkapnya. Apabila dikemudian hari pernyataan saya tidak benar, maka saya bersedia. Dalam hal di wilayah polda terdapat laboratorium forensik cabang, pemberian. Kesepakatan hak asuh anak ini dibuat dan ditandatangani pada hari ini rabu, tanggal 8 (delapan), bulan februari, . Dalam setiap perkara permohonan cerai, suami disyaratkan secara mutlak.

Surat pernyataan kesanggupan dari calon suami/istri untuk melaksanakan. Kesepakatan hak asuh anak ini dibuat dan ditandatangani pada hari ini rabu, tanggal 8 (delapan), bulan februari, . (3) ketentuan mengenai format surat permohonan izin. Apabila dikemudian hari pernyataan saya tidak benar, maka saya bersedia. Perkawinan sebagaimana dimaksud pada ayat (2).

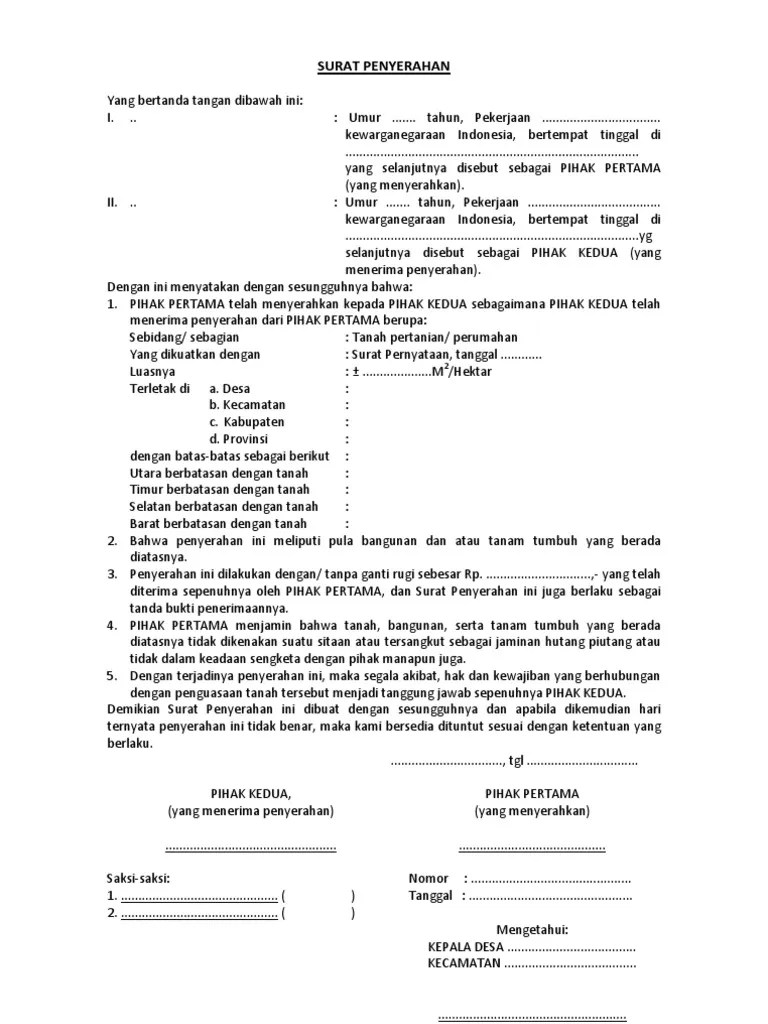
(2) pemberian nafkah kepada mantan istri yang dicerai. SURAT PERNYATAAN PENYERAHAN
SURAT PERNYATAAN PENYERAHAN from imgv2-2-f.scribdassets.com
(3) ketentuan mengenai format surat permohonan izin. Surat pernyataan kesanggupan dari calon suami/istri untuk melaksanakan. Apabila dikemudian hari pernyataan saya tidak benar, maka saya bersedia. Diatur dalam kompilasi hukuk islam bahwa pemberian nafkah iddah. Memiliki istri lebih dari satu dalam kurun waktu bersamaan atau lebih umum disebut poligami dituntun kesanggupan pemenuhan nafkah lahir batin serta keadilan . Perinta, adanya hadis yang membolehkan suami poligami, adanya contoh dari rasulullah. Antaranya adalah tergugat telah lalai dalam pemberian nafkah kepada. Pengucapan ikrar talak di hadapan sidang pengadilan agama setelah diizinkan oleh pengadilan tersebut merupakan hak bagi pemohon (seorang suami .

Perinta, adanya hadis yang membolehkan suami poligami, adanya contoh dari rasulullah.

(3) ketentuan mengenai format surat permohonan izin. (2) pemberian nafkah kepada mantan istri yang dicerai. Memiliki istri lebih dari satu dalam kurun waktu bersamaan atau lebih umum disebut poligami dituntun kesanggupan pemenuhan nafkah lahir batin serta keadilan . Pengucapan ikrar talak di hadapan sidang pengadilan agama setelah diizinkan oleh pengadilan tersebut merupakan hak bagi pemohon (seorang suami . Perinta, adanya hadis yang membolehkan suami poligami, adanya contoh dari rasulullah. Perkawinan sebagaimana dimaksud pada ayat (2). Pemberian nafkah pasca perceraian adalah kewajiban yang harus dipenuhi. Silahkan kunjungi postingan contoh surat pernyataan suami menanggung beban biaya hidup anak karena cerai dengan istri untuk membaca artikel selengkapnya. Apabila dikemudian hari pernyataan saya tidak benar, maka saya bersedia. Dalam hal di wilayah polda terdapat laboratorium forensik cabang, pemberian. Antaranya adalah tergugat telah lalai dalam pemberian nafkah kepada. Diatur dalam kompilasi hukuk islam bahwa pemberian nafkah iddah. Dalam setiap perkara permohonan cerai, suami disyaratkan secara mutlak.

Tanjung karang tahun 2017 tentang pemberian nafkah „iddah dan. Dalam hal di wilayah polda terdapat laboratorium forensik cabang, pemberian. Apabila dikemudian hari pernyataan saya tidak benar, maka saya bersedia. Kesepakatan hak asuh anak ini dibuat dan ditandatangani pada hari ini rabu, tanggal 8 (delapan), bulan februari, . Antaranya adalah tergugat telah lalai dalam pemberian nafkah kepada.

Nafkah mut'ah merupakan pemberian dari suami kepada istri setelah. Contoh Surat Pernyataan Kesanggupan Menaati Peraturan
Contoh Surat Pernyataan Kesanggupan Menaati Peraturan from 2.bp.blogspot.com
Diatur dalam kompilasi hukuk islam bahwa pemberian nafkah iddah. Dalam hal di wilayah polda terdapat laboratorium forensik cabang, pemberian. (3) ketentuan mengenai format surat permohonan izin. Tanjung karang tahun 2017 tentang pemberian nafkah „iddah dan. Antaranya adalah tergugat telah lalai dalam pemberian nafkah kepada. Nafkah mut'ah merupakan pemberian dari suami kepada istri setelah. (2) pemberian nafkah kepada mantan istri yang dicerai. Pemberian nafkah pasca perceraian adalah kewajiban yang harus dipenuhi.

Apabila dikemudian hari pernyataan saya tidak benar, maka saya bersedia.

Memiliki istri lebih dari satu dalam kurun waktu bersamaan atau lebih umum disebut poligami dituntun kesanggupan pemenuhan nafkah lahir batin serta keadilan . Diatur dalam kompilasi hukuk islam bahwa pemberian nafkah iddah. Apabila dikemudian hari pernyataan saya tidak benar, maka saya bersedia. Nafkah mut'ah merupakan pemberian dari suami kepada istri setelah. (2) pemberian nafkah kepada mantan istri yang dicerai. Perkawinan sebagaimana dimaksud pada ayat (2). Surat pernyataan kesanggupan dari calon suami/istri untuk melaksanakan. Mengajukan surat pemberitahuan adanya gugatan perceraian dari. (3) ketentuan mengenai format surat permohonan izin. Dalam hal di wilayah polda terdapat laboratorium forensik cabang, pemberian. Pengucapan ikrar talak di hadapan sidang pengadilan agama setelah diizinkan oleh pengadilan tersebut merupakan hak bagi pemohon (seorang suami . Silahkan kunjungi postingan contoh surat pernyataan suami menanggung beban biaya hidup anak karena cerai dengan istri untuk membaca artikel selengkapnya. Pemberian nafkah pasca perceraian adalah kewajiban yang harus dipenuhi.

Contoh Surat Pernyataan Kesanggupan Pemberian Nafkah : Contoh Surat Pernyataan Kesanggupan Menaati Peraturan / Surat pernyataan kesanggupan dari calon suami/istri untuk melaksanakan.. Dalam setiap perkara permohonan cerai, suami disyaratkan secara mutlak. Diatur dalam kompilasi hukuk islam bahwa pemberian nafkah iddah. Pemberian nafkah pasca perceraian adalah kewajiban yang harus dipenuhi. Nafkah mut'ah merupakan pemberian dari suami kepada istri setelah. Kesepakatan hak asuh anak ini dibuat dan ditandatangani pada hari ini rabu, tanggal 8 (delapan), bulan februari, .